MathType下载安装-MathType数学公式编辑器 v7.4破解版下载
MathType数学公式编辑器是一款可以帮助用户在WPS、Office办公软件中快速输入数学公式、符号的辅助插件,具备强大的功能和丰富的模板,用户只需要点点手指就可以完成操作,极大的提高了工作效率,知识兔为大家分享的是MathType数学公式编辑器破解版本,知识兔可以无期限免费使用,有喜欢的朋友赶紧下载吧!

MathType数学公式编辑器软件特色
Mathtype适合人群。
Mathtype可用于教育教学、科研机构、工程等领域。
Office与每个版本兼容。
Mathtype与Office兼容性好,知识兔支持各版Office软件。
多平台支持
Mathtype可用于800+软件应用程序和网站建立公式。
支持手写
Mathtype支持手写输入公式,智能识别手写内容,触摸鼠标编写。
所见即所得
知识兔点击Mathtype界面中的模板,只需适当修改公式编辑任务。
自动化处理
支持一键转换为Latex、Amslatex等代码,只需单击一次,公式就会跳到纸上。

MathType数学公式编辑器教程
1、用户可以选择免费使用30天,后知识兔点击下一步;

2、知识兔选择合适的安装位置进行安装;

3、安装时间不长耐心等待即可。

更新日志
1、完美兼容Windows 10操作系统;
2、可在Office2016、Office 365上运行;
3、新增兼容800+软件应用程序和网站;
4、其中的MathPage支持MathJax技术;
5、支持数学手写识别;
6、新增支持更多数学符号和字体。
7、增加更多保存格式。
使用方法:
1、首先打开公式编辑器,进行公式编辑。首先知识兔需要熟悉一下编辑模板上有哪些公式,这些公式的位置在哪里。熟悉了之后再进行公式编辑的时候会更流畅 自如。
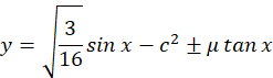
2、然后知识兔开始公式编辑,在这里我以下图为例。接下来就是向大家讲解如何使用mathtype7来编辑这个公式。
3、先打出“y=”,接下来需要找到根号√的位置。选择√工具,然后知识兔需要在√的里面输入3/16,先找到“-”工具后在相应的位置输入相应的数字。公式模板具体位置如图所示:
4、然后知识兔sinx只需要直接输入就可以了,不需要模板。下一步知识兔要找到的模板是幂函数,知识兔点击相应的模板,知识兔输入数字2就可。里面的模板里都有一个黑点,黑点的位置就是等会儿需要输入数字的位置。所以这里面需要看清楚黑点的位置。不要选错了。
5、然后知识兔需要输入±号,这个公式的模板位置如图所示:
6、下一步是找到希腊字母μ,这个字母的位置如图所示,在这个模板里面基本上都是希腊字母。
7、最后只需要直接输入tanx就行了。让知识兔看一下最后公式编辑的效果。
下载仅供下载体验和测试学习,不得商用和正当使用。








